作者: Wu B, Zhu H, Cao D, Xu L, Shi B
刊物信息: Cold Regions Science and Technology, 2021, Volume 189, 103332.
DOI: https://doi.org/10.1016/j.coldregions.2021.103332
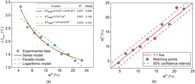
摘要:Ice content is a critical parameter affecting the hydrological, thermal, and mechanical properties of frozen soil. However, it is hard to capture in-situ ice contents due to the limitations of conventional geotechnical monitoring techniques. A new method of ice content measurement for frozen soil has been recently proposed using the actively heated fiber Bragg grating (AH-FBG) sensors. This study aims to examine the feasibility of this measuring technique and investigate some critical factors related to in-situ monitoring. A series of laboratory calibration tests were performed on frozen soil specimens at the initial temperature of −17 °C. The thermal conductivities of the specimens were measured by the proposed method and compared with the results obtained using a heat transfer analyzer. To verify the effectiveness of ice content calculation and estimate the measuring accuracy while considering the presence of unfrozen water, the ice contents recorded by frequency domain reflectometry (FDR) sensors were used to provide the theoretical calculation equation of ice content reference values. Furthermore, a two-dimensional axisymmetric finite element numerical model was built to explore the influencing factors of the AH-FBG method. The experimental results indicate that this method can be used as a reliable tool for measuring ice content but have certain limitations. The series model is found to be the most suitable model for calculating thermal conductivity and ice content based on temperature changes. The numerical simulation results show that this method is applicable to ice content measurement when the initial temperature is below −6 °C and the heating duration is over 110 s. The maximum normalized radius of influence of this measuring technique is 14. To refine the proposed method for field monitoring, further studies are needed to solve these limitations and expand the scope of application.
关键词:Ice content; Frozen soil; Fiber Bragg grating (FBG); Actively heated fiber optics (AHFO); Thermal conductivity
